Time magic in the stock market, do you believe it?
Don't you know, there is some “time magic” in the stock market, or so to speak, “calendar visions.”
For example, a lot of cow lovers should have heard about the Christmas speech mentioned recently. Below, we will introduce you to the various time effects and see what inspires our investments.
1. Christmas message
As the Christmas saying goes: US stocks usually experience a surge during the last 5 trading days of December each year and the first 2 trading days of the following year.
Why? The reason is controversial.
For example, someone said that because in the United States, capital losses can be used for tax purposes, many investors sell stocks that have lost before December 31 and reinvest the money in other assets, driving the share price up.
Some say that institutional investors make portfolio adjustments at the end of the year to make their annual reports look more attractive, which will increase demand for certain stocks in the short term, which is also known as the “powder window”.
Some say that because institutional investors usually take a vacation in the last week of December, the stock market is mainly dominated by retail traders, and retail traders are more bullish. It is also said that it is because employees receive bonuses at the end of the year brings increased funds, or that everyone feels more positive during the holidays, etc.

So what about the past data? According to the Stock Trader's Almanac, between 1950 and 2022, the last five trading days of December and the two trading days before January of the following year, $S&P 500 Index (.SPX.US)$ A total of 58 increases was close to 80%, with an average increase of 1.3%.
But this does not mean that there will be an increase every year, and the actual performance of the market may deviate from expectations due to a variety of factors. For example, with no Christmas Eve in 2023, the S&P 500 index actually fell 1.03% over the corresponding period.
What about recent data? the last 5 trading days of December 2024, $S&P 500 Index (.SPX.US)$ It fell 1.72% from 5984.63 to 5881.63. Relying on the first two trading days of January 2025 doesn't seem easy.
And all through January, with so many uncertainties surrounding Trump's entry into the White House, performance, the U.S. debt ceiling, the U.S. government shutdown, the news conference, and more, the momentum of the big plate should not be easy.
If viewed from the point of view of technical analysis $S&P 500 Index (.SPX.US)$ The trend will find that the situation is not optimistic. At the moment it seems to have come out of the head and shoulders, a typical reversal pattern, which means that the previous uptrend may end and may soon enter a downtrend.

A closer look, there is a major yin line on December 18. The current turbulence has not yet broken through this measured negative line, and there may be a large yin line waiting below.
And the DIF on the MACD is negative, indicating that the short-term trend is weaker than the long-term trend, and the market is short.
Several tech giants also reflect negative signals on the technology front, such as $Tesla (TSLA.US)$ 、 $Alphabet-A (GOOGL.US)$ 、 $Amazon (AMZN.US)$ of the suspected double-peaked form, and $NVIDIA (NVDA.US)$ Suspected fall channels, etc.


2. January effect
Immediately after that, the stock market in January has a saying:
Stock market returns in January tend to be higher than other months, and the reasons are similar to Christmas events, such as tax effects, powder windows, year-end bonuses, holiday effects, etc. While the January effect was mainly reflected in small-cap stocks, small-cap stocks performed relatively strongly and outperformed large-cap stocks. The explanation for this is that, whether it is a sell-off at the end of the year for tax reasons or reinvestment after an additional bonus, much of it is the operation of individual traders, who tend to hold an unequal number of small-cap stocks.
There have been statistics on annual yield changes for four cases in 1995-2012: one is adjusted $S&P 500 Index (.SPX.US)$Yield (the adjusted part is to convert its January yield data to small-cap stocks); two is the unadjusted yield of small-cap stocks; three is unadjusted $S&P 500 Index (.SPX.US)$Yield; 4 is the adjusted yield of small-cap stocks (part of the adjustment is that of converting their January yield data to the S&P 500 index).

It can be clearly seen: 1 line above 3 lines in the chart and 2 above 4 lines both indicate that small disk stocks performed better in January than the S&P 500 index in January. 1 line above 2 lines, and 3 lines above 4 lines indicate that the overall performance of smallcap stocks in other months is not the same as the S&P 500 index.
At the same time, there is data showing, 1925-2012, $S&P 500 Index (.SPX.US)$ The average yield in January was 1%, and small-cap stocks were 5.36%. The 4.36% difference between the two is far greater than the difference between the annualized returns of large-cap stocks and small-cap stocks, which also bears out the above conclusions.
If you follow this rule, then January is a favorable period for holding small shares. One possible profitable strategy is: buy a small share at the end of December each year and convert it to $S&P 500 Index (.SPX.US)$。 If you follow this strategy, then $1 invested at the end of 1925 turned into $7020 at the end of 2012, and the annualized return reached 13.8%!
What happens in special market transactions (such as bear markets)? For example, between August 1929 and 1932, the market value of small-cap stocks shrank by more than 90%, but this did not affect the January effect of small-cap stocks. Small-cap stocks still had higher returns in the three months of 1930, 1931 and 1932, respectively, of 13%, 21%, and 10%.
Which markets is this effect suitable for? According to data from 1970-2012, this has been confirmed in many international markets.

Does this effect still work now? with $Russell 2000 Index (.RUT.US)$ The performance shows that in the 12 years 2013-2024, only 5 years of data show that the return rate for January performed relatively prominently in all months, with 6 years of data showing that the return rate for January was negative. As it stands, it seems that this effect has not worked very well.
Why is this again? There may be two reasons: One is that, from the theory of effective markets, the market may have digested ahead of time if the market had already considered the impact of January. Second, the market's focus has also changed, with people focusing more on big tech stocks these years, which may partially offset the effects of January.
If the foregoing concerns were borne out that the majors did not perform well in January, how would the small-cap stocks perform? Currently from $Russell 2000 Index (.RUT.US)$ The trend does not seem to be optimistic either.

3. Spring Festival effect
The end of the month is also due to the Spring Festival, with the market also saying that the Chinese stock market (including A-shares and Hong Kong stocks) tends to rise before and after the Spring Festival.
Why? It may be because the financial industry loosens short-term borrowing to meet the demand for Spring Festival funds, plus the company's year-end end-of-year awards (usually before the Chinese New Year), making the market more liquid than before the Chinese New Year, and the red pack effect and the festive atmosphere driving the share price higher.
What is the historical data of the Hong Kong stock market? from $Hang Seng Index (800000.HK)$ The performance shows that in the 14 years 2011-2024, three trading days before the Spring Festival increased by 1% per annum for 10 years.
However, sir, I would also like to remind you that over the past decades, $Hang Seng Index (800000.HK)$ “Spring chill” phenomena that have occurred many times before the Spring Festival, such as in 2013, 2018, 2021 and 2023. It may have been due to a surge in the run-up to the Spring Festival that made the market's consensus too optimistic. Adjustments after the New Year are long and short, and the long may be a full opening of a round of adjustments, for example in 2013.

If Christmas does not work as expected and the effect of January is absent, will the spring effect of Hong Kong stocks come this year?
2024 $Hang Seng Index (800000.HK)$ The cumulative increase was 17.7% due to the support of both factors of policy escalation and undervaluation. Both factors can still be extended into 2025, and market confidence is in the process of rebuilding at the moment, so the possibility of a red pack movement is not ruled out.
But since the Spring Festival is a crucial period for Trump entering the White House and results, a wave of uncertainty will follow, so market volatility is likely to increase, and bulls should be wary of volatility risks.
4. Early monthly effect
Apart from a few recent possible effects, are there any time effects per month? The market rumor is that there is an effect early in the month.
According to the data in the “Stock Mayors Line”: 1885-2012 and 1995-2012, $Dow Jones Industrial Average (.DJI.US)$ The return rate for the previous 6 calendar days per month is relatively high.

Why? Possible reasons such as early salary issuance at the end of the month, as well as fund managers, pensions, etc., making new funds allocations at the beginning of the month.
Does this effect still make sense now? with $S&P 500 Index (.SPX.US)$ und $Hang Seng Index (800000.HK)$ Data for 2024 showed that all the months that fit this rule accounted for half, so we'll see how to think about it.

5. Effect during the week
Similar to the early month effect, there is also talk of a periodic effect in the market.
According to the data of “Stock Mayors Line”, $Dow Jones Industrial Average (.DJI.US)$ Data from 1885-2012 shows that Monday gradually went from the worst performing day to the second best performing day (second only to Tuesday), and Friday fell from the best performing day to the worst performing day.

What is the reason? Since many stock traders prefer to hedge on the weekend, they sell multiple positions held at the close on Friday. Sell stocks on Friday and rebuild stocks next Monday, which will also increase the stock's yield on Monday.
From your trading experience, do you think such a rule still exists today?
6. September effect
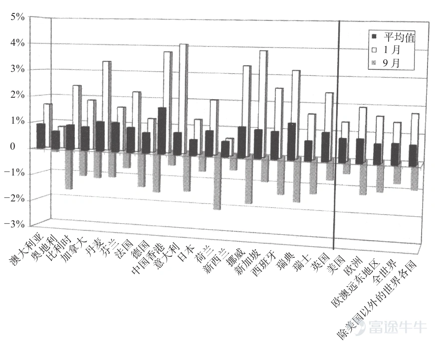
Having said that, the more time effects of the rise, are there any periods that are more likely to fall? Let's talk about the effects of US stocks in September.
You can see from the figure below that the monthly average performance of the S&P 500 index in 1928-2023, September was the worst, with a decrease of -1.2%. Although the extent may vary, stock markets in many other countries have similar phenomena.

The reason for the September effect is speculated to be related to the approaching winter, reduced daytime flight speed and reduced sunlight, which can increase depression. It is also possible that after the end of the summer holidays, investors reassess the market situation and make portfolio adjustments, increasing the volatility of the market. And by the end of the third quarter, institutional investors may also adjust their positions as they prepare for year-end full-year earnings, putting selling pressure on the market.
But while this is a statistical rule, it does not mean that every September is the case. And some of the big negative events that occurred in September could also push down average earnings levels in September, such as the financial tsunami of 2008 and the Great Depression of 1931. So if you follow this rule alone, you may miss some good opportunities.
Also, looking at the data for 2024, $S&P 500 Index (.SPX.US)$ und $Hang Seng Index (800000.HK)$ And apparently none of them follow this rule.

7. The last few words
These calendar visions mean something to look at.
Based on past data, they can sometimes help people understand the situation in the market and develop relevant strategies: for example, when an unnamed rise or fall at a certain time, it is possible to find a reason here; or if you want to trade but do not determine the right time, you can also find references here.
Plus, if everyone has expectations about these phenomena, self-fulfilling prophecies are likely to form, which is inspiring for the advance layout.
And there's another benefit to these effects: reminding us to do the right thing at the right time, reminding us to explore the opportunities and risks of the market through time. In this sense, the actual results, the re-election of the President of the United States, the cycle of interest rate cuts, these are also time periods that can be better utilized.
P.S. Click herePay attention to interest rate changes and deploy investments!
However, it has also been said above that these effects are just statistical rules and do not mean that they will necessarily occur. There are also some counterexamples of the above data.
It is also necessary to consider valid market theories, for example, when there is an effect in September, investors may start selling stocks ahead of time, so August may turn out to be the worst-performing month, and other effects make sense.
P.S. If you want to exchange more, you can add FutubullOfficial Investment Exchange GroupLearn, lead analyst teaching live online!

